Abstract
Background Current laboratory tests measuring factor and factor inhibitor levels are limited in their ability to fully evaluate the hemostasis status of hemophilia patients. There are global assays including thromboelastogragh (TEG), Innovance ETP, and thrombinoscope measuring thrombin generation potential, which have potentials to provide more objective and clinically relevant markers to guide clinical management. However, performance characteristics of these global assays are not well-studied, and no parallel comparisons of three global assays have been made.
Material and Methods With plasmas of 20 healthy individuals the normal variation of thrombin generation potential was determined for all three global assays. With five commercially available and three clinical plasma samples with different levels of factor VIII inhibitors, serial dilutions were made, and thrombin generation potentials were measured with the global assays.
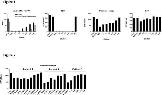
Results The means and standard deviations for thrombin generation potential of healthy individuals are 761.27±70.30 mm/min, 2126.43±441.62 nM/min, and 411.04±48.87 mA, by TEG, throminoscope and Innovance ETP respectively. Thrombinoscope shows a dose-dependent response to different levels of factor VIII inhibitors from the same patients, while Innovance ETP shows virtually no response to factor 8 inhibitors regardless of inhibitor levels. TEG appears more sensitive to factor VIII inhibitors than thrombinoscope, as a moderate level of factor VIII often abolishes thrombin generation by TEG (see Figure 1 for an example). Importantly, it was shown that the same levels of factor VIII inhibitor from different patients result in different level of inhibition for thrombin generation potential by thrombinoscope (Figure 2), which potentially explains the phenotypic heterogeneity of patients with same levels of factor VIII inhibition.
Conclusion Global assays like thrombinoscope, but not Innovance ETP, offer an objective measurement of hemostasis in hemophilia patients with factor VIII inhibitors, which may lead to individualized hemophilia patient management. Future studies are warranted to validate the global assays clinically.
No relevant conflicts of interest to declare.
Author notes
Asterisk with author names denotes non-ASH members.

This feature is available to Subscribers Only
Sign In or Create an Account Close Modal